Việc 798 chủ xe chạy quá tốc độ trên Quốc lộ 1A đã nhanh chóng chấp hành nộp phạt nguội theo quy định tại Nghị định 168 cho thấy sự hiệu quả trong công tác giám sát và xử lý vi phạm giao thông. Đây là bước tiến quan trọng nhằm nâng cao ý thức tuân thủ luật giao thông, góp phần bảo đảm an toàn trên tuyến đường huyết mạch này.
Tổng quan về vi phạm tốc độ trên Quốc lộ 1A tại tỉnh Lâm Đồng
Quốc lộ 1A – tuyến đường trọng yếu nối các tỉnh thành phía Nam và Bắc, vừa ghi nhận một số lượng lớn các trường hợp vi phạm giới hạn tốc độ. Sự việc diễn ra tại tỉnh Lâm Đồng, nơi có lưu lượng phương tiện tham gia giao thông đông đúc và đa dạng loại hình. Các lực lượng chức năng đã triển khai kiểm tra, ghi nhận nhiều trường hợp phương tiện vận hành vượt tốc độ cho phép, gây nguy cơ tiềm tàng đến an toàn giao thông và trật tự xã hội.
Thời gian và địa điểm phát hiện vi phạm
Trong khoảng thời gian gần đây, lực lượng cảnh sát giao thông phối hợp với các đơn vị liên quan tiến hành tập trung kiểm soát tại các điểm trọng yếu trên Quốc lộ 1A thuộc địa bàn tỉnh Lâm Đồng. Các hoạt động được tổ chức vào giờ cao điểm nhằm phát hiện kịp thời những phương tiện chạy vượt quá tốc độ cho phép. Việc kiểm tra không chỉ giới hạn vào khu vực cụ thể mà còn mở rộng sang nhiều đoạn đường phức tạp dễ xảy ra vi phạm.

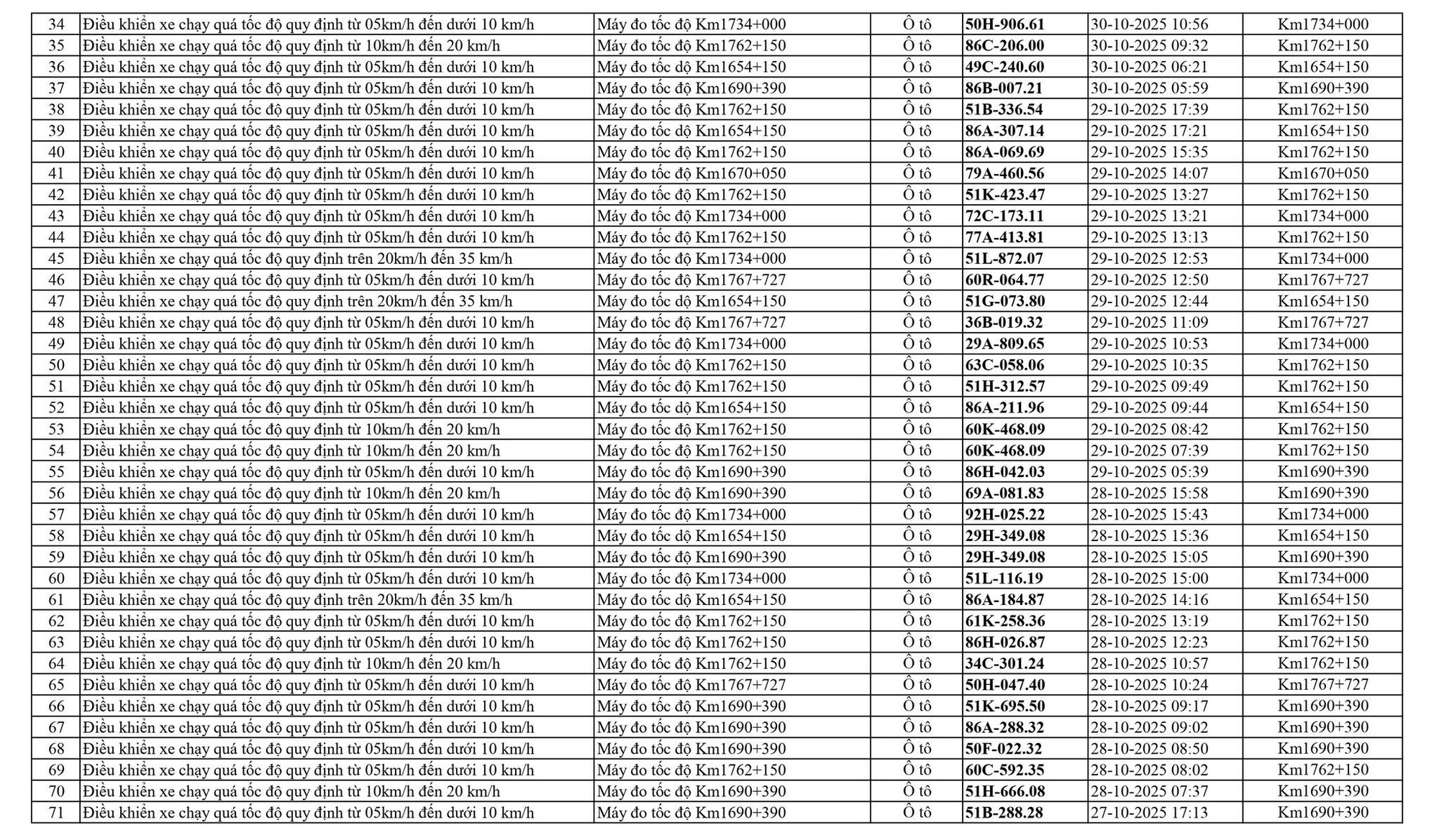
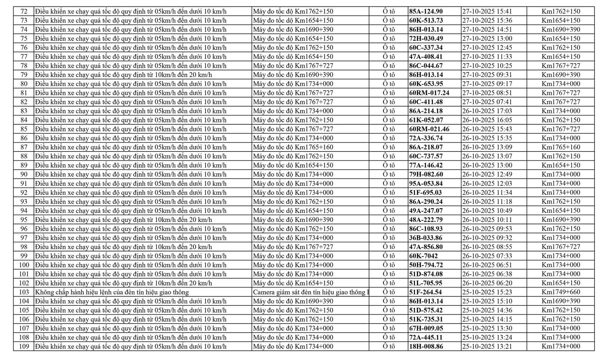
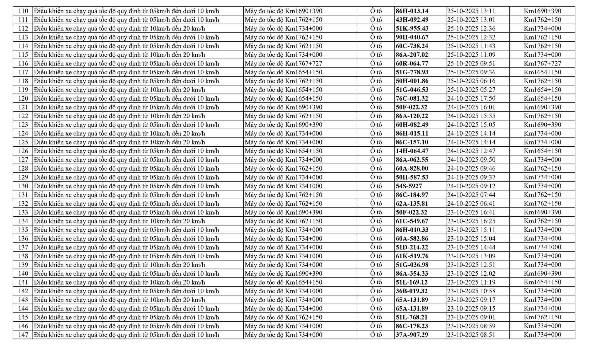
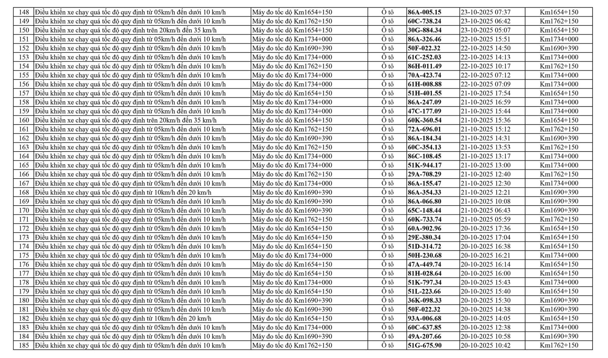
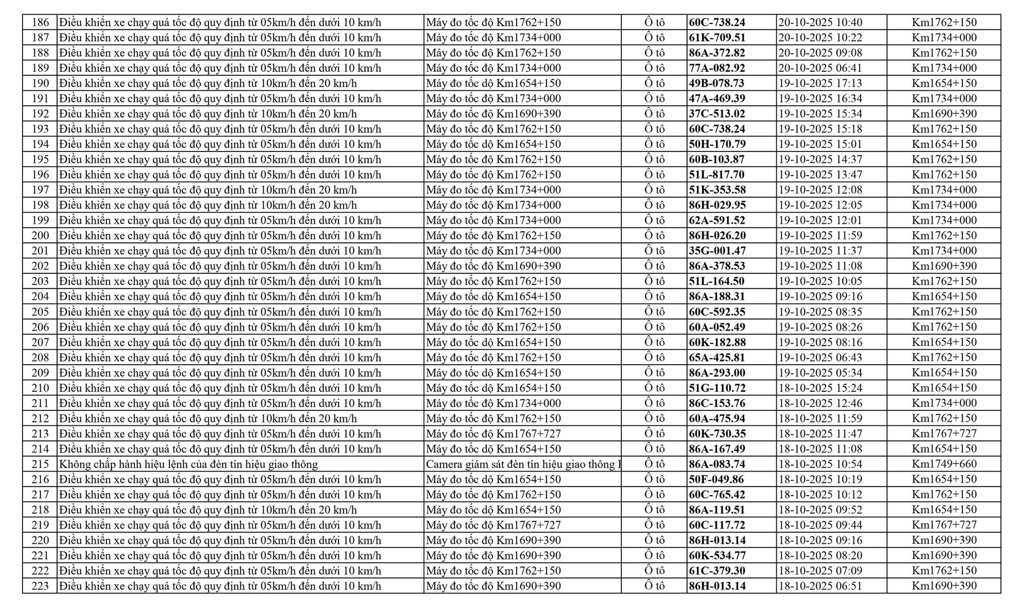
Danh sách biển số phương tiện vi phạm
Số lượng phương tiện vi phạm và biện pháp xử lý
Tổng cộng có tới 798 chủ xe được xác định chạy quá tốc độ quy định trên tuyến quốc lộ này. Sau khi phát hiện, các chủ phương tiện đã được gửi thông báo phạt nguội kèm theo hướng dẫn xử lý cụ thể theo quy định pháp luật. Hành động kịp thời của cơ quan chức năng thể hiện sự quyết liệt trong việc duy trì trật tự an toàn giao thông cũng như nâng cao ý thức chấp hành luật của người dân.

Ghi nhận hình ảnh vi phạm
Quy định xử phạt vi phạm tốc độ theo Nghị định 168/2024/NĐ-CP
Nghị định 168/2024/NĐ-CP quy định rõ ràng mức phạt đối với từng loại phương tiện khi vi phạm về tốc độ nhằm đảm bảo tính nghiêm minh trong công tác xử lý. Các biện pháp này không chỉ bao gồm tiền phạt mà còn áp dụng trừ điểm trên giấy phép lái xe và có thể kéo theo các hình thức xử lý nghiêm khắc hơn nếu gây hậu quả nghiêm trọng.
Mức phạt đối với ô tô chạy quá tốc độ
Đối với ô tô, mức phạt sẽ tùy thuộc vào mức độ vượt quá giới hạn tốc độ cho phép. Những trường hợp vi phạm nhẹ có thể bị phạt tiền ở mức thấp, tuy nhiên nếu vượt tốc độ từ mức nghiêm trọng trở lên thì phạt tiền kết hợp với hình thức xử lý bổ sung như tước quyền sử dụng giấy phép lái xe sẽ được áp dụng nhằm tăng tính răn đe.
Mức phạt đối với xe máy khi vượt quá tốc độ quy định
Xe máy cũng chịu mức phạt tương ứng theo từng khung mức vượt tốc. Quy định không phân biệt vùng miền mà áp dụng thống nhất để giữ vững trật tự an toàn giao thông, đồng thời giúp người điều khiển nhận thức rõ hơn về lỗi vi phạm và trách nhiệm bảo vệ an toàn cá nhân cũng như người tham gia giao thông khác.
Hình thức trừ điểm bằng lái xe và xử lý nghiêm khi gây tai nạn giao thông
Ngoài việc xử phạt tiền, Nghị định còn quy định rõ ràng về việc trừ điểm trên giấy phép lái xe đối với các hành vi chạy quá tốc độ. Nếu hành vi này dẫn đến tai nạn giao thông nghiêm trọng hoặc tái phạm nhiều lần sẽ bị áp dụng các biện pháp nghiêm ngặt hơn như tước giấy phép lái xe dài hạn hoặc thu hồi vĩnh viễn tùy theo mức độ vi phạm.
Quy trình gửi thông báo và phối hợp xử lý vi phạm
Các cơ quan chức năng xây dựng quy trình chặt chẽ để gửi thông báo đến từng chủ phương tiện có liên quan một cách nhanh chóng và chính xác. Việc phối hợp giữa phòng Cảnh sát Giao thông cùng các đơn vị đăng kiểm tạo nên hệ thống quản lý hiệu quả, giúp chủ phương tiện dễ dàng tiếp nhận thông tin và thực hiện nghĩa vụ xử phạt đúng thời hạn.
Thời hạn gửi thông báo cho chủ phương tiện, tổ chức, cá nhân liên quan
Thông báo về lỗi vi phạm sẽ được gửi đến chủ sở hữu phương tiện trong vòng thời gian quy định nhằm đảm bảo họ có đủ cơ hội để giải quyết và nộp phạt. Việc tuân thủ thời hạn này giúp hoàn thiện quá trình xử lý phạt nguội một cách minh bạch và công bằng.
Yêu cầu giải quyết vụ việc tại các điểm tiếp dân của Phòng CSGT
Phòng Cảnh sát Giao thông bố trí các điểm tiếp dân thuận lợi để hỗ trợ cá nhân hoặc tổ chức khi cần làm rõ hoặc kháng cáo về biên bản ghi nhận lỗi. Đây là kênh tương tác trực tiếp giúp nâng cao chất lượng dịch vụ công cũng như tạo điều kiện để giải quyết vụ việc một cách nhanh chóng.
Biện pháp sau khi quá thời hạn giải quyết và liên hệ với cơ quan đăng kiểm
Khi quá thời hạn mà chủ phương tiện không thực hiện việc nộp phạt hay giải quyết theo yêu cầu, cơ quan chức năng sẽ áp dụng các biện pháp chế tài bổ sung. Một trong những bước quan trọng là phối hợp với cơ quan đăng kiểm để từ chối cấp hoặc gia hạn đăng kiểm cho phương tiện, góp phần siết chặt quản lý và nâng cao hiệu quả xử lý.
Hướng dẫn tra cứu thông tin phương tiện vi phạm phạt nguội
Việc tra cứu thông tin về các trường hợp vi phạm được đơn giản hóa nhờ ứng dụng công nghệ hiện đại. Chủ xe có thể dễ dàng kiểm tra tình trạng vi phạm của mình qua nhiều kênh trực tuyến khác nhau nhằm chủ động thực hiện nghĩa vụ nộp phạt tránh những phiền hà phát sinh do chậm trễ.
Tra cứu trực tuyến trên website chính thức của Cục Cảnh sát Giao thông
Trang web chính thức của Cục Cảnh sát Giao thông cung cấp dịch vụ tra cứu trực tuyến giúp chủ phương tiện cập nhật nhanh chóng các lỗi đã được ghi nhận. Việc truy cập vào hệ thống này rất thuận lợi và an toàn qua mọi thiết bị kết nối mạng internet.

Hướng dẫn tra cứu online
Sử dụng ứng dụng VNeTraffic để kiểm tra vi phạm giao thông
Bên cạnh website, ứng dụng VNeTraffic cũng hỗ trợ người dùng tra cứu nhanh chóng và thuận tiện ngay trên điện thoại di động. Đây là giải pháp tối ưu dành cho những ai thường xuyên di chuyển hoặc muốn cập nhật tức thời tình trạng phương tiện của mình.

Tra cứu vi phạm qua ứng dụng VNeTraffic
Ý nghĩa và tác động của việc thực hiện phạt nguội theo Nghị định 168

CSGT thực thi pháp luật
Việc triển khai biện pháp phạt nguội theo Nghị định 168 không chỉ phát huy tác dụng răn đe mà còn góp phần xây dựng môi trường giao thông văn minh hơn. Sự đồng thuận từ phía người dân cùng chính sách xử lý nghiêm túc giúp giảm thiểu đáng kể các hành vi nguy hiểm khi tham gia lưu thông trên đường bộ.
Tạo sự công bằng và nghiêm minh trong xử lý vi phạm giao thông
Xử lý lỗi vượt tốc bằng hình thức phạt nguội góp phần đảm bảo tính minh bạch và khách quan trong công tác quản lý giao thông vận tải. Mọi trường hợp đều phải chịu trách nhiệm trước pháp luật một cách bình đẳng mà không phụ thuộc vào địa vị hay hoàn cảnh cá nhân.
Nâng cao ý thức chấp hành luật giao thông của người dân
Khi người lái biết rằng mọi hành động sai trái đều sẽ bị phát hiện và xử lý kịp thời qua hệ thống camera giám sát hoặc thiết bị đo tốc độ tự động, họ sẽ trở nên thận trọng hơn, từ đó nâng cao ý thức tuân thủ luật lệ giao thông trong cộng đồng.
Giảm thiểu tai nạn giao thông và ùn tắc trên tuyến đường huyết mạch
Việc giảm thiểu tình trạng chạy quá tốc độ góp phần đáng kể vào việc hạ thấp tỉ lệ tai nạn thương tích nghiêm trọng cũng như tình trạng ùn tắc kéo dài trên quốc lộ quan trọng này. Điều này tạo điều kiện thuận lợi cho sự phát triển kinh tế – xã hội cũng như đảm bảo an toàn tính mạng con người.
Khuyến cáo dành cho chủ phương tiện trong việc chấp hành luật giao thông và xử lý phạt nguội

Khuyến cáo cho chủ phương tiện
Để góp phần cải thiện tình hình an toàn giao thông nói chung, bên cạnh sự quản lý từ phía nhà nước thì ý thức tự giác của mỗi chủ xe cũng đóng vai trò then chốt. Việc thường xuyên kiểm tra tình trạng vi phạm là cách tốt nhất để tránh phát sinh những hậu quả không mong muốn do thiếu hiểu biết hoặc bỏ sót nghĩa vụ pháp luật.
Chủ động kiểm tra tình trạng vi phạm và nộp phạt kịp thời
Chủ xe nên tận dụng các dịch vụ tra cứu trực tuyến hoặc qua ứng dụng điện thoại để thường xuyên cập nhật tình trạng lỗi của mình. Khi phát hiện có biên bản phải nộp phạt thì cần thực hiện sớm để tránh bị cộng dồn thêm chi phí do nộp muộn hay gặp khó khăn khi đăng kiểm lại sau này.
Tăng cường tuân thủ giới hạn tốc độ để đảm bảo an toàn cho bản thân và cộng đồng
Không chỉ vì sợ bị xử phạt mà còn vì mục tiêu giữ gìn an toàn khi tham gia lưu thông trên đường bộ, mỗi người điều khiển cần tỉnh táo tuân thủ đúng giới hạn tốc độ quy định. Hành động nhỏ này sẽ góp phần tạo nên văn hóa giao thông tích cực và ngăn ngừa tai nạn đáng tiếc xảy ra.
“Khẳng định vai trò thiết yếu của việc phối hợp xử lý phạt nguội trong xây dựng văn minh giao thông”
“Sự cố gắng của 798 chủ xe chạy quá tốc độ trên Quốc lộ 1A nhanh chóng nộp phạt nguội theo Nghị định 168 khẳng định hiệu quả trong chiến lược quản lý an toàn giao thông hiện đại. Qua đó giúp nâng cao ý thức trách nhiệm mỗi cá nhân tham gia lưu thông, đồng thời giảm thiểu nguy cơ tai nạn đáng tiếc xảy ra trên tuyến đường huyết mạch này. Chủ động chấp hành quy định chính là chìa khóa mang lại sự an toàn bền vững cho tất cả mọi người.”

